« Forschungslandschaft: Projekte
Langzeitzuverlässigkeit SiC-basierter Leistungsmodule
Projektleiter:
Projekthomepage:
Finanzierung:
BMWi/AIF;

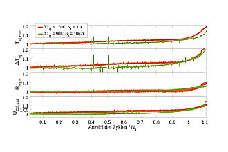
Ziel ist die Entwicklung und Validierung eines Verfahrens zur testbasierten Qualifizierung von Leistungsmodulen auf Basis von Silizium-Karbid (SiC) für extrem hohe Zyklenzahlen. Dazu werden SiC-MOSFETs mit neuartiger und hochzuverlässiger Aufbau- und Verbindungstechnik mittels Lastwechseltests untersucht. Der Fokus liegt hierbei auf Prüfmethoden und Strategien zur Raffung der Tests, Konzepten für in-situ Fehlerindikation, Verfahren zur Kompensation von SiC-spezifischen Drifteffekten sowie dem physikalischen Verständnis der Fehlermechanismen.
Kooperationen im Projekt
Kontakt

Prof. Dr.-Ing. Andreas Lindemann
Otto-von-Guericke-Universität Magdeburg
Fakultät für Elektrotechnik und Informationstechnik
Institut für Elektrische Energiesysteme
Universitätsplatz 2
39106
Magdeburg
Tel.:+49 391 6758594
Fax:+49 391 6742408
weitere Projekte
Die Daten werden geladen ...